40 % weniger Schadstoffe und ein schöneres Flammenbild im Cheminée
(Birmensdorf)(PPS) Mit der der patentierten «Cheminée Cobra®» als Ergänzung zu jedem Cheminée oder Schwedenofen ist es möglich, einfacher Feuer zu machen und den Schadstoffausstoss deutlich zu verringern. Eine UTF-Studie attestiert eine Schadstoff-Reduktion von bis zu 40% und weitere Vorteile.
«In einer Zeit, in der Umweltschutz und Luftreinheit von zentraler Bedeutung sind, ist es entscheidend, nachhaltige Lösungen zu finden. Die Vorschriften und Normen werden stetig verschärft. Mit der gängigen Klimathematik kommen CH-Behörden, Ofenbauer und die EU bald in Zugzwang», erklärt Christian Schmid, Geschäftsführer bei der Firma Swiss Cobra. Mit einem Stück Edelstahl fand er die Lösung für einen Schritt zur saubereren Luft: «Der patentierte Cheminéeholz Abbrandständer erleichtert nicht nur das Anzünden und verschönert das Flammenbild, sondern leistet zusätzlich einen beeindruckenden Beitrag zum Umweltschutz. Gleichzeitig verringern sich die Russablagerungen an ihrer Verglasung.»
Studie belegt Schadstoff-Reduktion bis 40 %
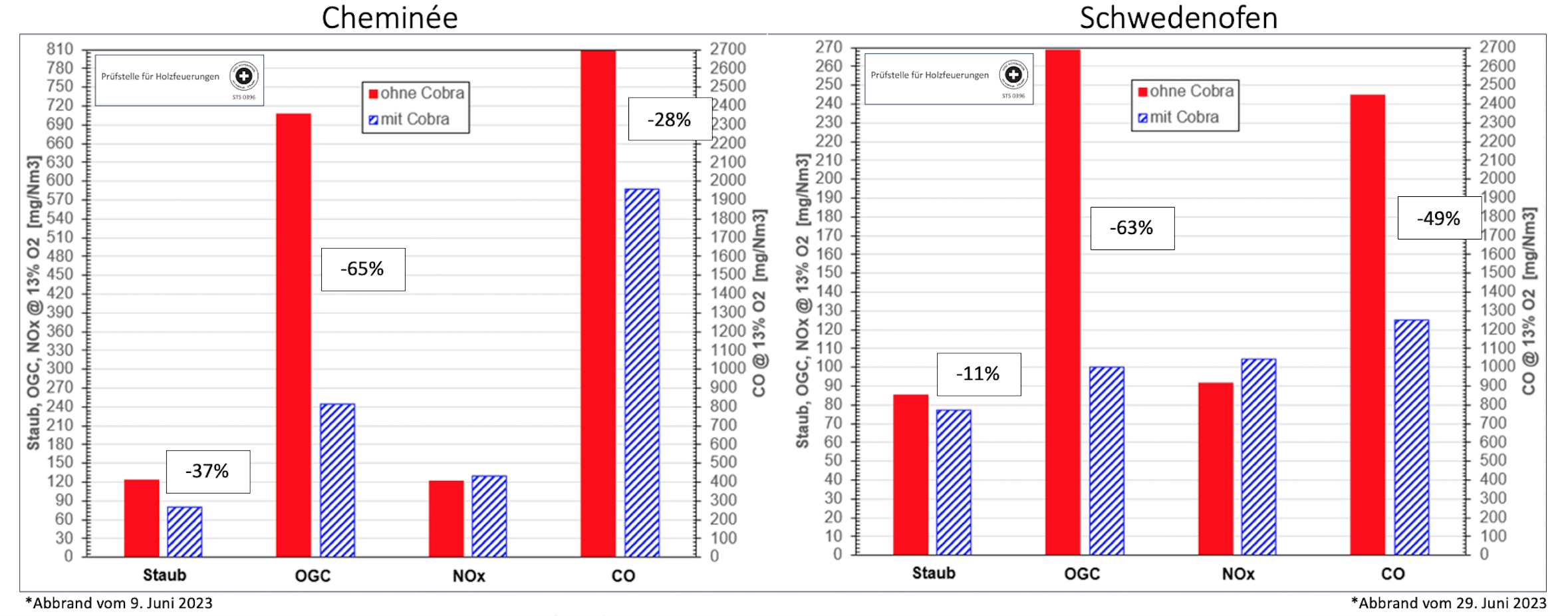
In einer vom Bundesamt für Umwelt (BAFU) unterstützten UTF-Studie an der akkreditierten Schweizer Prüfstelle für Holzfeuerung an der Fachhochschule in Windisch konnte mit Messungen nachgewiesen werden, dass der Einsatz der Cheminée-Cobra® den Schadstoffausstoss deutlich verringert. «Die giftigen Schadstoffe, die durch den Kamin freigesetzt werden, sind Methan Gas (OGC), Kohlenmonoxid (CO) sowie Russ & Feinstaub (Staub). Nur mit der EU-patentierten Cheminée-Cobra® reduziert sich beim Feuern der Ausstoss von OGC bis zu 64%, CO bis zu 38 % und Staub bis zu 24 %», erklärt Christian Schmid.
Methan, Kohlenmonoxid und Feinstaub fördern Klimaerwärmung und sind gesundheitsschädigend
Es besteht grosser Handlungsbedarf beim Vollzug der Luftreinhaltevorschriften ist Christian Schmid überzeugt. Die Grenzwerte für Feinstaub [1] werden regelmässig überschritten und Holzfeuerungen tragen überproportional dazu bei. So wurde im Winter in einem Alpental mit vielen Holzfeuerungen in Autobahnnähe drei- bis viermal mehr Feinstaub aus Holzfeuerungen als aus dem Verkehr nachgewiesen [2]. Dies beweist, dass der Beitrag der Holzverbrennung zum Feinstaub in der Umgebungsluft unterschätzt wird. Russ besitzt in einer Betrachtungsdauer von 20 Jahren das mehrfache globale Erwärmungspotenzial als CO2. Und das giftige Methangas OGC das 72-fache [3]. So wurde für schlecht betriebene Feuerungen alleine aufgrund der Methanemissionen eine höhere Klimaerwärmung als für eine Ölheizung nachgewiesen [4]. Beim Russ kommt hinzu, dass dessen Ablagerungen auf Eis und Schnee das Abschmelzen der Gletscher beschleunigt [5]. «Somit sind diese Emissionen stärker klimawirksam als man glaubt. Bei Feinstaub ist die Emissionsfracht einzelner Verbindungen entscheidend. Feinstaub mit Korngrössen kleiner als PM10µm (Particulate Matter PM10) ist lungengängig und aufgrund von epidemiologischen Studien [6] als wichtigster Indikator für gesundheitsschädigende Wirkung der Luftverschmutzung identifiziert», so Schmid. Kurz gesagt, mit der Cheminée Cobra® wird Feuermachen müheloser und umweltfreundlicher.
[1] Luftreinhalteverordnung, Stand 15.Juli 2010, Schweizerischer Bundesrat
[2] Paul-Scherrer-Institut, Medienmitteilung, Villigen-PSI, 20.Januar 2006
[3] IPCC, Fourth Assessment Report (AR4), Cambridge University Press, 2007
[4] Johansson, Atmospheric Environment Vol.38, Issue25, 2004
[5] Bond T.: Black Carbon: Emission sources and prioritization, 2009, Int. workshop UK
[6] Journal of Respiratory and Critical Care Medicine 151, 1995
[7] Holzenergie-Symposium, Nussbaumer T., Holz-Zentralblatt 131 Nr.70 2005
Bild: Die maximal reduzierten Mengen an giftigen Schadstoffen, die in den ersten 50 Minuten eines Abbrands durch den Kamin freigesetzt werden.
Swiss Cobra
Ruggenstrasse 10
8903 Birmensdorf
Christian Schmid
Geschäftsführer Swiss Cobra
+41 78 671 01 01
christian.schmid @ swisscobra.ch
